• Предмет: Геометрия
  • Автор: vira117711
  • Вопрос задан 2 года назад

СРОЧНО!!!ДАЮ 100 БАЛОВ!!!!!
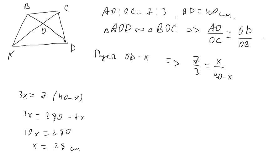
У трапеції АВCD з основами AD i ВС діагоналі перетинаються в точці О, АО:OC=7:3, BD=40 см. Знайти довжину відрізка OD.​

Ответы

Ответ дал: Warlock1
1

Ответ:

28см

Объяснение:

Приложения:

Аноним: Здравствуйте. вы не могли бы мне помочь Завтра с геометрия пожалуйста умоляюю
kamysnojdana: Да
Warlock1: что да?
Вас заинтересует