• Предмет: Математика
  • Автор: vladmakcilodmitrevic
  • Вопрос задан 2 года назад

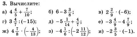
Решите пожалуйста,дам 10 балов

Приложения:

Ответы

Ответ дал: aidanatalgatkyzyalma
1

Ответ:

а) 5 1/2

б) 2 5/8

в) - 13 1/3

г) - 5/21

Ответ дал: pivaslife
0
Ответы правильные :)
Приложения:
Вас заинтересует