• Предмет: Алгебра
  • Автор: vasyababushkin
  • Вопрос задан 2 года назад

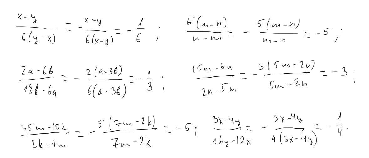
Сократите дробь
x-y/6(y-x)

5(m-n)/n-m

2a-6b/18b-6a

3x-4y/16y-12x

15m-6n/2n-5m

35m-10k/2k-7m

Ответы

Ответ дал: Warlock1
1

Ответ:

типа того

Объяснение:

Приложения:
Вас заинтересует