• Предмет: Математика
  • Автор: alkebaevalaura0
  • Вопрос задан 2 года назад

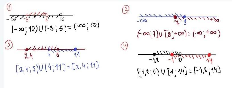
ПОМОГИТЕ ПЖ ВСЁ НА ФОТО!​

Приложения:

Ответы

Ответ дал: susavkin
1

надеюсь помог,но ответ не мой

Приложения:

alkebaevalaura0: о спасибо
Вас заинтересует