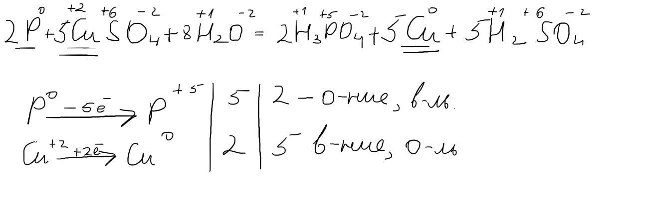
P + CuSO4 + H2O = H3PO4 + Cu + H2SO4
Складіть електронний баланс окисно-відновного процесу. У відповіді вкажіть коефіцієнт біля формули сполуки, що є окисником.
ТРЕБА ЗРОБИТИ ТАК ЯК НА ФОТО
Приложения:

Ответы
Ответ дал:
2
Удачи!!!!!!!!!!!!!!!!!!!!!!!!!!!!
Приложения:

xkgskmjj6s:
Дуже дякую
Вас заинтересует
1 год назад
1 год назад
1 год назад
1 год назад
3 года назад
8 лет назад
8 лет назад