• Предмет: Математика
  • Автор: nekitpestov
  • Вопрос задан 2 года назад

Помогите найти производную
1) y=-23x^2+3x^3-24
2) y=(x+2)(x+3)

Ответы

Ответ дал: Aleksandr524
2

Ответ:

1)9x^2 - 46x

2)2x + 5

Пошаговое объяснение:

---------------------------------------

(x^n) = n*x^(n-1)

(С)' = 0

---------------------------------------

1) y = -23x^2+3x^3-24

y' = (-23x^2+3x^3-24)' = -23*2x^(2-1) + 3*3x^(3-1) - (24)' = -46x +9x^2 - 0 =

= 9x^2 - 46x

2) y=(x+2)(x+3) = x^2 + 5x +6

y' = (x^2 + 5x +6)' = 2*x(2-1) + 5*1x^(1-1) + (6)' = 2x + 5x^0 + 0 = 2x + 5

Ответ дал: adbestias
1

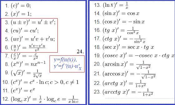
Відповідь: на фото

Покрокове пояснення: на фото

Приложения:
Вас заинтересует