• Предмет: Математика
  • Автор: jujikfurry
  • Вопрос задан 2 года назад

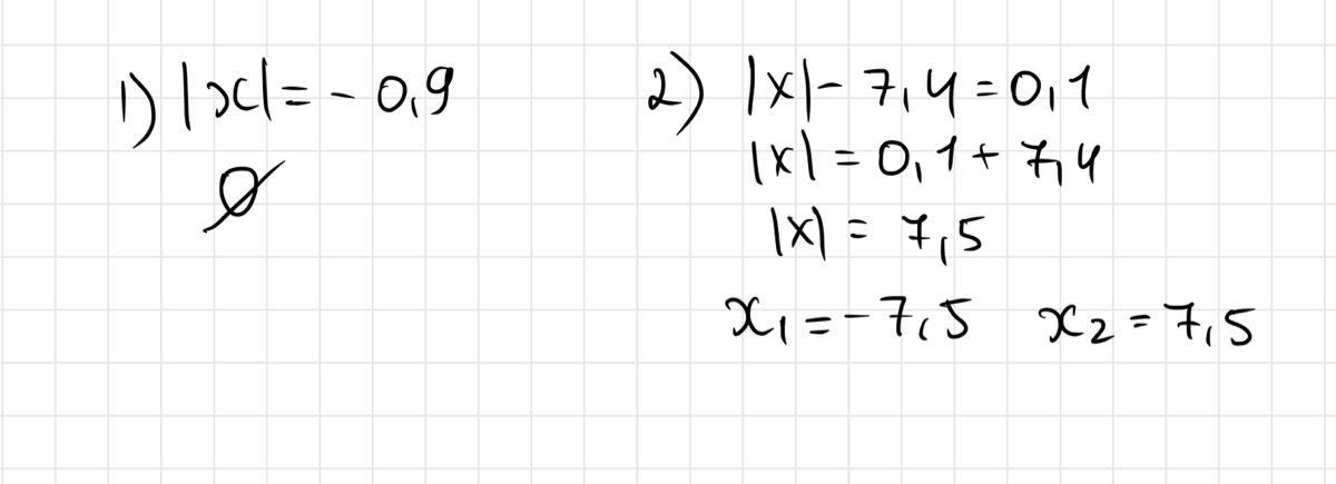
2) | х | = −0,9; 3) | х |−7,4 = 0,1.

Ответы

Ответ дал: broomspun1
0
Дай лучший ответ пожалуйста (коронку)
…..()()()()()…..
Приложения:
Вас заинтересует