• Предмет: Физика
  • Автор: bilikk374
  • Вопрос задан 2 года назад

За якою формулою можна обчислити кінетичну енергію тіла?
5 номер я не знаю прошу допомоги мене ❤ ​

Приложения:

Ответы

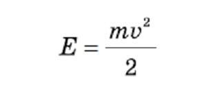
Ответ дал: Dimchikik
5

Ответ:

Г

Объяснение:

де, E - кінетична енергія,

m - маса тіла,

v - швидкість тіла.

Приложения:
Ответ дал: pikhotenkoyl
2
Кінетична енергія тіла дорівнює половині від добутку маси, помноженої на квадрат швидкості тіла.
Вас заинтересует