• Предмет: Физика
  • Автор: imonya0
  • Вопрос задан 2 года назад

Помогите пожалуйста ​

Приложения:

Ответы

Ответ дал: zhukov57
1

Відповідь:

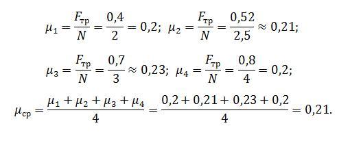
Обчислення за вашими даними в прикріпленому файлі.

Пояснення:

Обчислені значення використовуйте для заповнення таблиці в лабораторній роботі.

Приложения:
Вас заинтересует