• Предмет: Алгебра
  • Автор: vitya1414
  • Вопрос задан 2 года назад

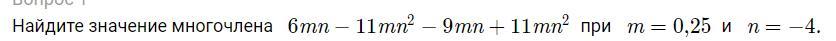
Помогите решить Алгебра пж

Приложения:

Ответы

Ответ дал: abildaevaamankul413
1

Ответ:

ответ будет 3 ааааввовцоуоулу

Приложения:

vitya1414: Помаги пж https://znanija.com/task/51729283
Ответ дал: dimanoskoff
1

6*0,25*(-4)=-6

-11*0,25*(-4^2)=-44

-9*0,25*(-4)=9

11*0,25*(-4^2)=44

-44 и 44 самоуничтожаются

и остаётся -6+9=3

надеюсь помог

Вас заинтересует