• Предмет: Алгебра
  • Автор: dhdjcjehd474737
  • Вопрос задан 2 года назад

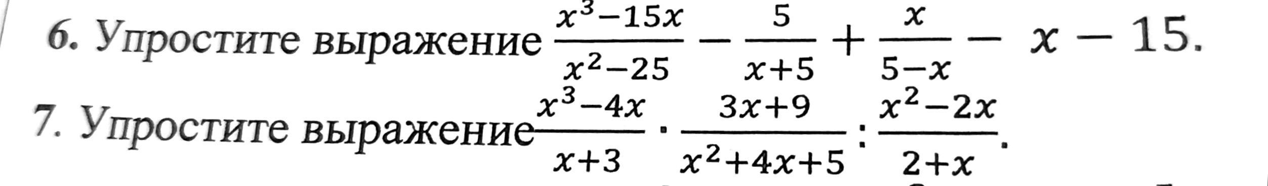
Весь день пишу никто не отвечает, ПОМОГИТЕ ХОТЬ КТО-НИБУДЬ!!!!!!! И распишите решение пожалуйста.....!!

Приложения:

Ответы

Ответ дал: сок111213
0

Решение на прикреплённой фотографии

Приложения:
Вас заинтересует