• Предмет: Алгебра
  • Автор: bolk30893
  • Вопрос задан 2 года назад

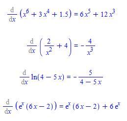
Помогите решить производную.

Приложения:

Ответы

Ответ дал: Ergbertgb
0

Ответ:

Ответы даны на картинке.

Объяснение:

Приложения:

bolk30893: У меня единственный вопрос че за d в начале и нужно ли их писать?
Ergbertgb: Это дифференциал, записывай просто знак производной вместо этого.
bolk30893: Понятно спасибо
bolk30893: Если не затруднит можете помочь ещё с 3 заданиями?
Ergbertgb: Ну, создай вопросы и кинь сюда ссылки на них. И поставь лучшее решение, если не сложно)
bolk30893: https://znanija.com/task/51733460 вот ссылка надеюсь работает
Вас заинтересует