• Предмет: Алгебра
  • Автор: laktionovaalla909
  • Вопрос задан 2 года назад

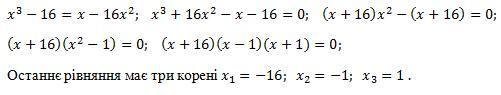
розв'яжіть рівняння: 2) x³-16=x-16x²​

Ответы

Ответ дал: zhukov57
0

Відповідь:

Пояснення:

Приложения:
Вас заинтересует