Ответы
Ответ дал:
2
Ответ:
можно лучший ответ пожалуйста
Объяснение:
Приложения:

ograt23:
можешь пожалуйста мне помочь с 1 заданием прошу !!
Ответ дал:
0
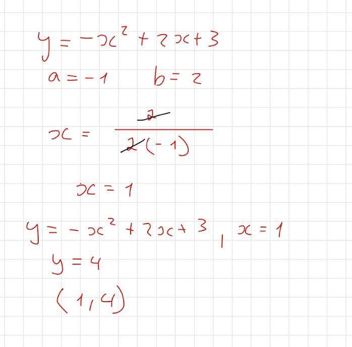
y= -x^2+2x+3
а=-1,b=2
2
x=___
2•(-1)
x=1
y=-x²+2x+3,x=1
y=4
(1,4)
Вас заинтересует
1 год назад
1 год назад
1 год назад
1 год назад
3 года назад
8 лет назад