• Предмет: Алгебра
  • Автор: ZigaZagaXoy
  • Вопрос задан 11 лет назад

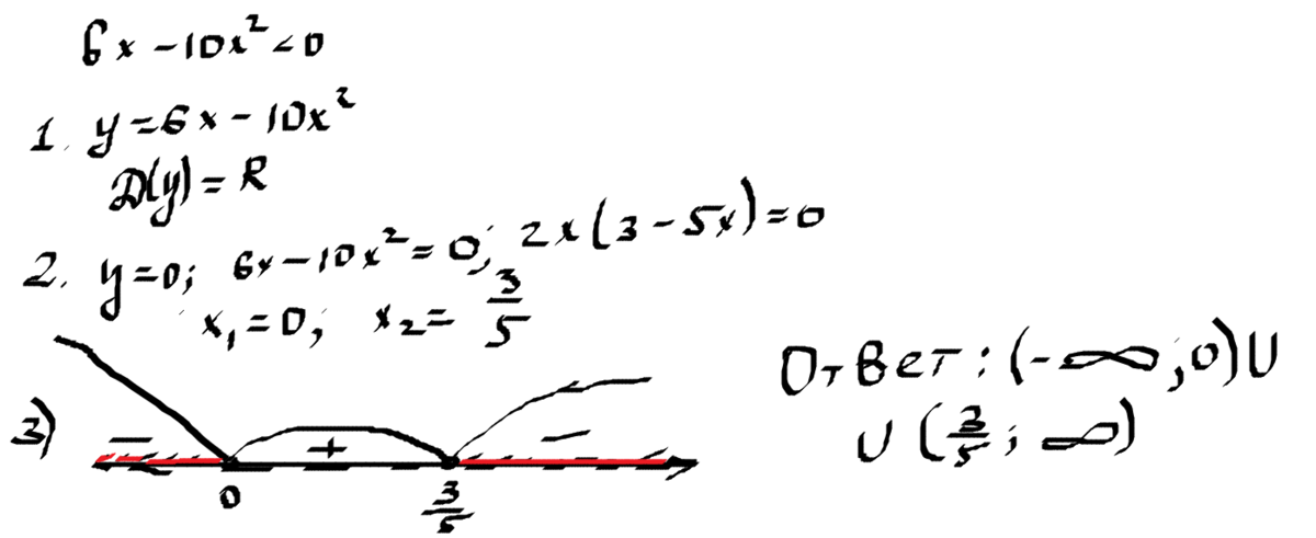
решить неравенство 6x-10x^2<0

Ответы

Ответ дал: mmb1
0
 6x-10x^2<0
2x(3-5x)<0
======0======5/3=====
---------   +++++++  -------
x=(-oo 0)U(5/3 +oo)
Ответ дал: Аноним
0
))) кто-то поймет?)))
Ответ дал: mmb1
0
вы поняли ?
Ответ дал: Аноним
0
Да)
Ответ дал: mmb1
0
}}}}}} поблагодарили значит тоже поняли
Ответ дал: Аноним
0
))
Ответ дал: Аноним
0
...............................................
Приложения:
Вас заинтересует