• Предмет: Алгебра
  • Автор: Аноним
  • Вопрос задан 2 года назад

сделайте срочноооооо​

Приложения:

Ответы

Ответ дал: broomspun1
1

Ответ:

можно лучший ответ пж

Объяснение:

Приложения:

Аноним: спс пупс
Аноним: бро а что за хер? аахпхпхпхпх
broomspun1: пж. поставь мне лучший ответ пж
Ответ дал: rozhkoolga15031976
0
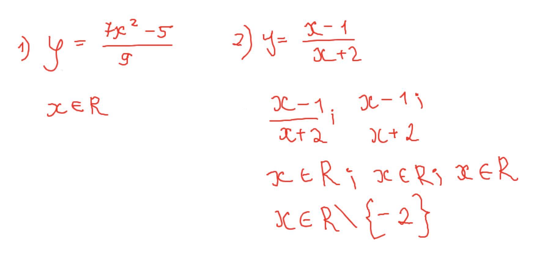
1) от минус бесконечности до плюс бесконечности 2) х не может быть равен -2
Вас заинтересует