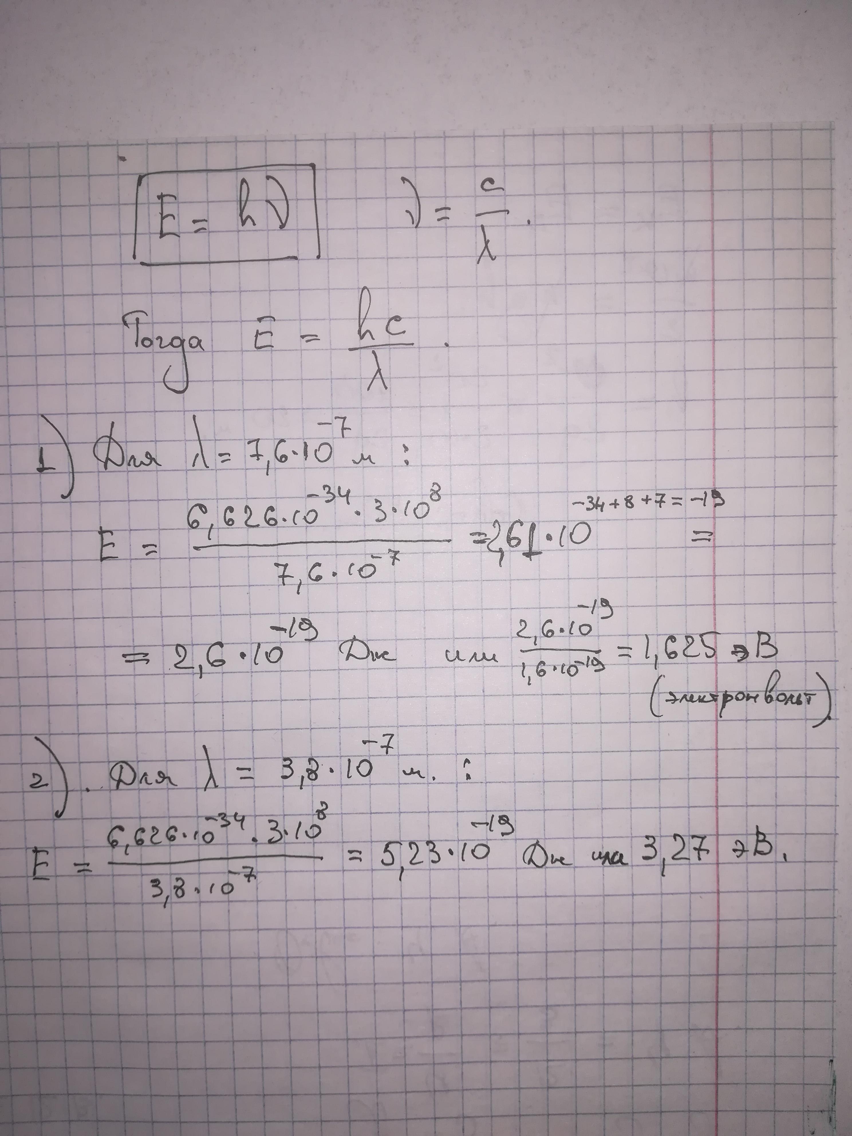
Определить энергию фотонов, соответствующих красному свету с длиной волны ƛ= 7,6*10^-7 м и фиолетовому свету – ƛ= 3,8*10^-7 м., используя также формулу связи длины волны, частоты и скорости.
Ответы
Ответ дал:
1
Ответ:
Объяснение:
Смотреть вложение
Приложения:

Вас заинтересует
1 год назад
1 год назад
1 год назад
1 год назад
3 года назад
8 лет назад
8 лет назад