• Предмет: Алгебра
  • Автор: More1234567890
  • Вопрос задан 2 года назад

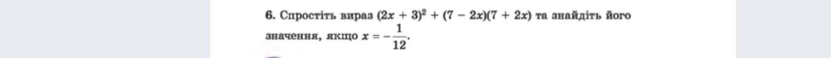
Допоможіть будь ласка!!!!! Дуже срочно!!!!!

Приложения:

Ответы

Ответ дал: sadiqovafirengiz2
1

Ответ:

использовать формулу квадрата двучлена(

(:а+в)=а²+2ав+в²

Приложения:
Вас заинтересует