• Предмет: Алгебра
  • Автор: Sofipetrichenko2206
  • Вопрос задан 2 года назад

ЛЮДИ ДАЮ 75 БАЛЛОВ СПАСАЙТЕ
(все уравнения прикреплены)
1) (Бали: 2)
Знайдіть значення виразу .
2) (Бали: 2)
Скоротіть дріб .
3) (Бали: 2)
Укажіть усі цілі числа, що містяться між числами і .
4) (Бали: 2)
Побудуйте графік функції:

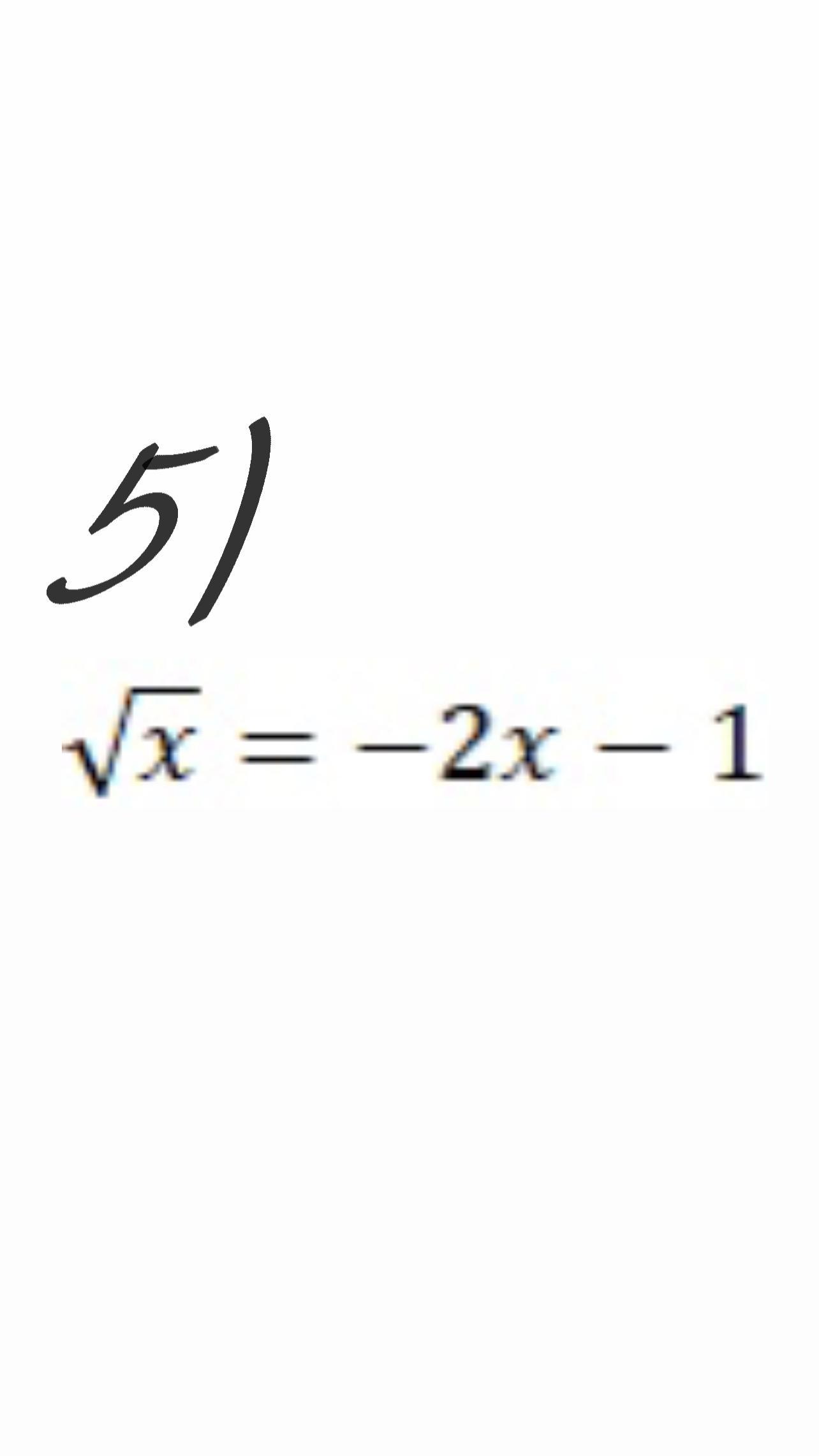
5) (Бали: 2)
Розв`яжіть рівняння графічним способом.

Приложения:

Ответы

Ответ дал: FoxTeach
2

Відповідь:

на фото

Пояснення:

Приложения:
Вас заинтересует