Ответы
Ответ дал:
0
Ответ:
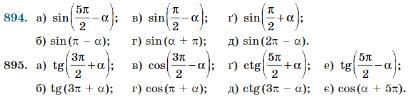
Применяем формулы приведения и учитываем периодичность тригонометрических функций .
Приложения:

Вас заинтересует
1 год назад
1 год назад
1 год назад
1 год назад
3 года назад
8 лет назад