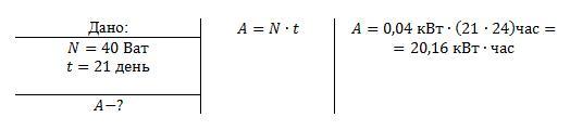
Джон забыл выключить свет в подвале. 40-ваттная лампочка "горела и потребляла электроэнергию" ровно три недели. Узнайте, сколько кВт/ч электроэнергии потребляла лампочка в течение этих 21 дней.
Ответы
Ответ дал:
1
Відповідь:
Пояснення:
Приложения:

Вас заинтересует
1 год назад
1 год назад
1 год назад
3 года назад
3 года назад
8 лет назад