• Предмет: Алгебра
  • Автор: MeiHuang
  • Вопрос задан 2 года назад

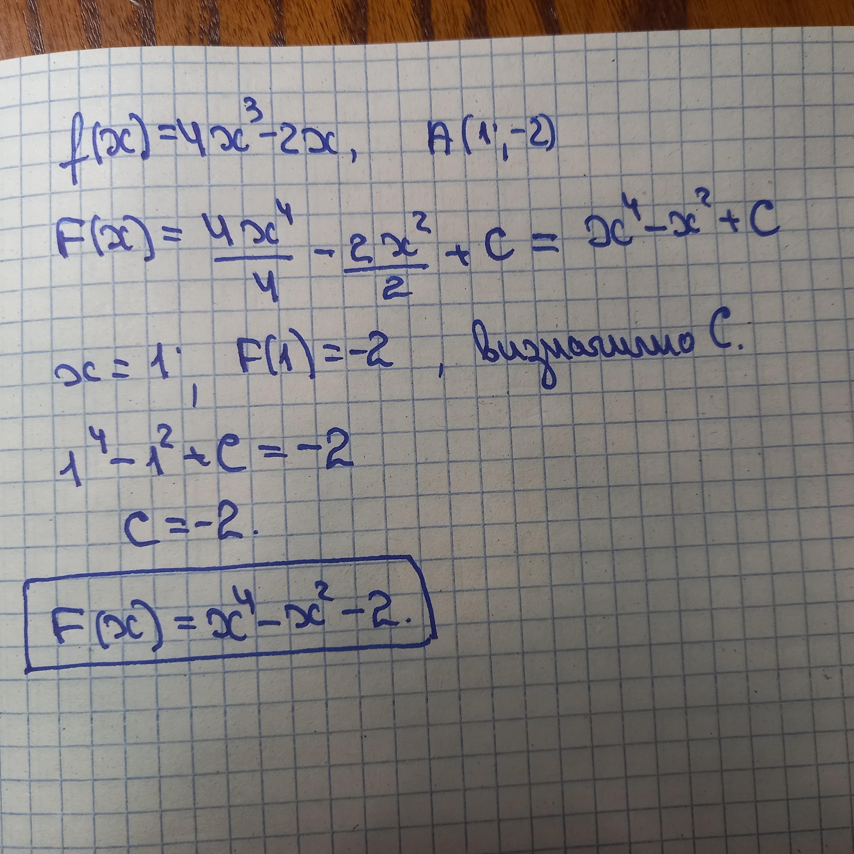
Для функції f(x) записати

первісну F(x) ,графік якої проходить через вказану точку,якщо: f(x)=4x^3 -2x , А(1;-2)

Ответы

Ответ дал: aarr04594
1

Відповідь: фото

Пояснення: розв'язання завдання додаю

Приложения:
Вас заинтересует