• Предмет: Математика
  • Автор: zelenskijegor13
  • Вопрос задан 2 года назад

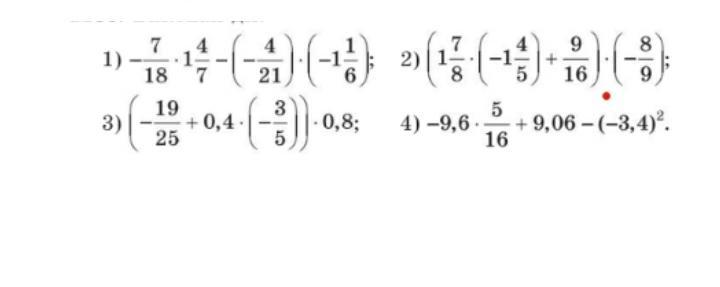
ДАЮ ВСЁ ЧТО ЕСТЬ!!! Нужны только ответы (без решения)

Приложения:

Ответы

Ответ дал: eujdjdhdj
0

Пошаговое объяснение:

РАЗСЗРЩПЧЩПСНЗСЗАЩНӨАЩҢАЩАЩЕАЕҚҚАЗНПӨНӨНАӨЕСЕҚЕСҚАҚЕАЗЕЗЕВЩЕСЩЕСЕҚЧҚСНЩСҚЕЧҚЕ

Ответ дал: dimaparafilo8
0

Ответ:

19-02-'82*-83<200_20

Вас заинтересует