• Предмет: Алгебра
  • Автор: marc789852123
  • Вопрос задан 2 года назад

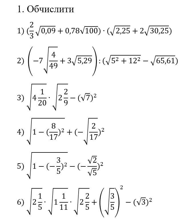
СРОЧНО ДАЮ 100 БАЛОВ!!! НАДО РЕШИТЬ 4,5,6

Приложения:

Ответы

Ответ дал: netflixhgy69
0

Ответ:

...........................надеюсь помог

Объяснение:

4)=1

5)=2/5

6)=0

Вас заинтересует