• Предмет: Алгебра
  • Автор: vikasinica111
  • Вопрос задан 2 года назад

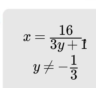
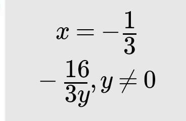
9. Розв'яжіть систему рівнянь:
(3xy + x = -16
(3xy + y = -21​

Ответы

Ответ дал: Аноним
1

Объяснение:

надеюсь правильно ответила можно

Приложения:

vikasinica111: о пасиба
Аноним: можно лучший ответ
vikasinica111: как появится то дам)
vikasinica111: бо у меня ещё этой кнопки не появилось
Вас заинтересует