• Предмет: Математика
  • Автор: hryshchuklina
  • Вопрос задан 2 года назад

Cрочно!!!!
Cрочно!!!!

Приложения:

Ответы

Ответ дал: e31497746
1

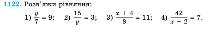
1) потрібно 9 помножити на 7 буде 63, число 63 розділити на 7 буде перша відповідь. 2) число 15 треба розділити на 3 буде 5, потрібно 5 помножити на 3 буде твоя відповідь 3)млинець третя і четверте я незнаю як вирішити

Ответ дал: saggdhjvyjd
0
1)63.2)5.3)84.4)8……………………..
Вас заинтересует