• Предмет: Математика
  • Автор: nastya837383
  • Вопрос задан 2 года назад

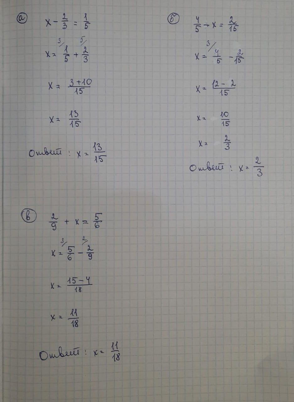
Розв’яжи рівняння. а) х-2/3=1/5 б) 4/5-х=2/15 в) 2/9+х5/6

Ответы

Ответ дал: kataga
2

Решение смотри на фото

Приложения:
Вас заинтересует