Ответы
Ответ дал:
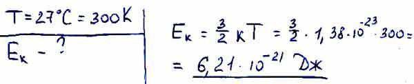
2
Объяснение:
!!!!!!!!!!!!!!!!!!!!!!!
Приложения:

Вас заинтересует
1 год назад
1 год назад
1 год назад
3 года назад
8 лет назад