• Предмет: Алгебра
  • Автор: marinasenilova22
  • Вопрос задан 2 года назад

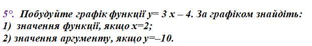
Пожалуйста помогите даю 100 б

Приложения:

Ответы

Ответ дал: applecipolino25
1

Ответ:

Смотри фото ниже.

Объяснение:

Приложения:

marinasenilova22: Спасибо
applecipolino25: не за что
marinasenilova22: А можете мне ещо помочь, у меня в профиле последнее задание, даю 100 баллов
marinasenilova22: И там есть почти такоеже , просто я несколько раз задавала одинаковые вопросы, поэтому можете ответить одним ответом на несколько вопросов , пожалуйста
Вас заинтересует