• Предмет: Математика
  • Автор: malay20092011
  • Вопрос задан 2 года назад

1180. Батько купив доньці іграшку вартістю 270 грн, що становить 1,5% його заробітної плати.

Обчисліть заробітну плату батька.


062672: Нам потрібно 1,5 перевести у дріб (звичайний) 150

Ответы

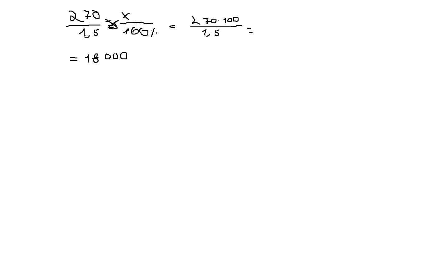
Ответ дал: maksimsamovol
18

Ответ: заробітна плата батька = 18000грн

Пошаговое объяснение:

пропорція -- якщо 270 це 1,5%, то х це 100% відповідно х = 270*100/1,5 =18000грн

Приложения:
Вас заинтересует