• Предмет: Математика
  • Автор: azarbazakarina
  • Вопрос задан 2 года назад

БУДЬ ЛАСОЧКА ДУЖЕ ШВИДКО ТРЕБА
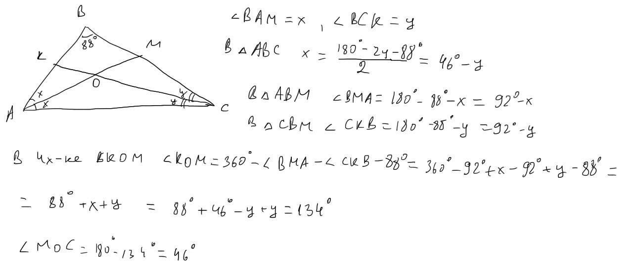
У трикутнику АВС проведені бісектриси АМ і СК, вони перетинаються в точці О, кут B=88°. Знайдіть кут МОС.


n6156707: 7н6еа7в7еаа
Warlock1: напишу кратко. если что будет непонятно - сорян

Ответы

Ответ дал: Warlock1
1

Ответ:

ну вроде так

Пошаговое объяснение:

Приложения:
Вас заинтересует