• Предмет: Алгебра
  • Автор: wergergreww
  • Вопрос задан 2 года назад

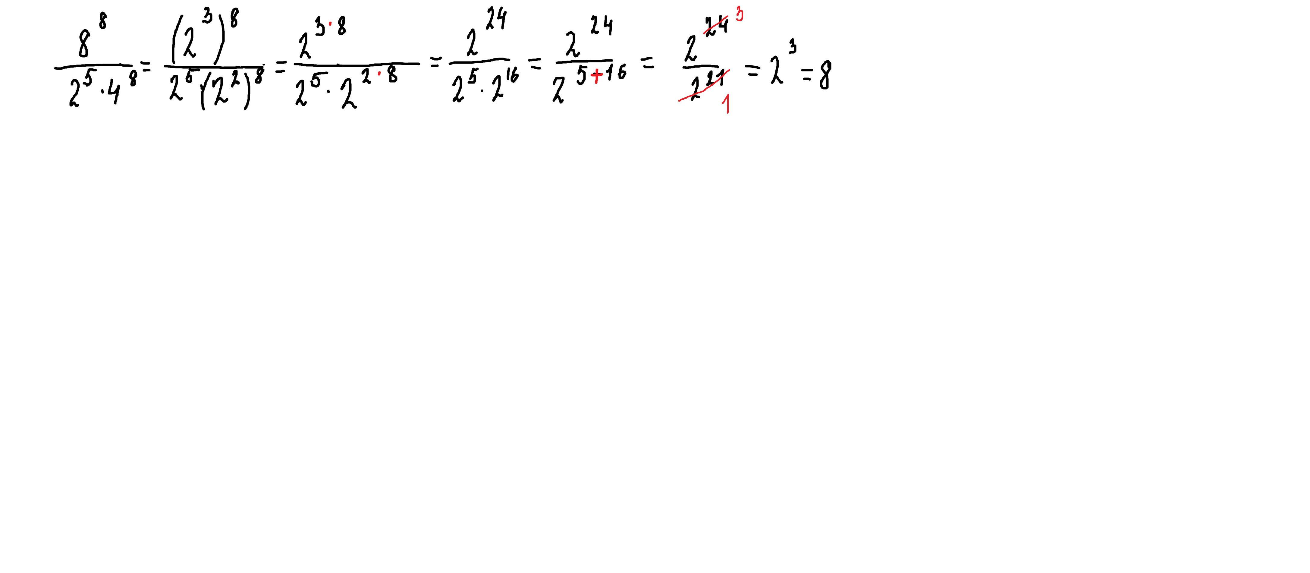
40 балов пжпжпжпж ВЫЧИСЛИТЕ:

Приложения:

Ответы

Ответ дал: parus77
0

Ответ:

8

Объяснение:  8=2³      4=2²

решение внизу

применяем св-ва степеней(табл.тоже внизу)

Приложения:
Вас заинтересует