• Предмет: Алгебра
  • Автор: Apuhtinigor
  • Вопрос задан 2 года назад

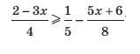
Скільки натуральних розв’язків має нерівність:

Приложения:

Ответы

Ответ дал: dobra888
0

Відповідь:       Є всього  6  натур. розв'язків .

Пояснення:

    ( 2 - 3x )/4 ≥ 1/5 - ( 5x + 6 )/8 ;│X 40

 10( 2 - 3x ) ≥ 8 - 5( 5x + 6 ) ;

 20 - 30x ≥ 8 - 25x - 30 ;

 30x - 25x ≤ 10 + 30 - 8 ;

 5x ≤ 32 ;

   x ≤ 32 : 5 ;

   x ≤ 6,4 ;     xЄ (- ∞ ; 6,4 ] ;  

             xЄ N , тому   x = 1 ; 2 ; 3 ; 4 ; 5 ; 6 .

   В  -  дь : Є всього  6  натур. розв'язків .

Вас заинтересует