Ответы
Ответ дал:
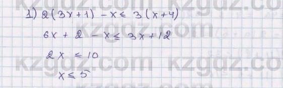
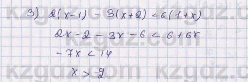
1
Пошаговое объяснение:
думаю что помогла, удачи
Приложения:





pandahkaplay0:
а вы девочка
Вас заинтересует
1 год назад
1 год назад
1 год назад
3 года назад
3 года назад
8 лет назад
8 лет назад