• Предмет: Информатика
  • Автор: kurmanalieverzan6
  • Вопрос задан 2 года назад

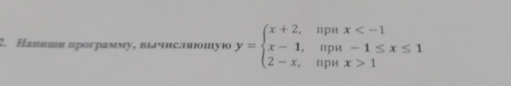
2. Напиши программу, вычисляющую y = {x +2, x-1 2-x при x < -1 при -1 1 -​

Приложения:

Ответы

Ответ дал: aslankobzhanov6
0

Ответ:

def calculate_y(x):

   if x < -1:

       return x + 2

   elif x >= -1 and x <= 1:

       return x - 1

   else:

       return 2 - x

x = float(input("Enter a value for x: "))

y = calculate_y(x)

print("y =", y)

Объяснение:

python

Вас заинтересует