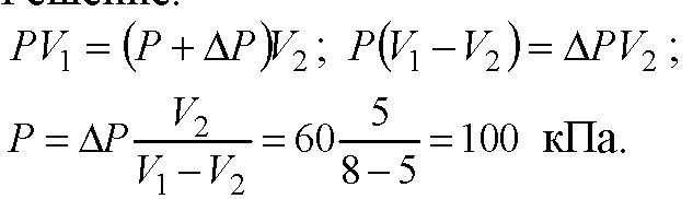
При сжатии газа его объем уменьшился с 8 до 5 л, а давление повысилось на 60 кПа. Найти первоначальное давление.
Ответы
Ответ дал:
0
V1 = 8 л,
V2 = 5 л, ΔP = 60 кПа. Найти: P.
Приложения:

Вас заинтересует
2 года назад
8 лет назад
8 лет назад
10 лет назад
10 лет назад
10 лет назад