• Предмет: Алгебра
  • Автор: masterjkds
  • Вопрос задан 2 года назад

СРОЧНО РЕШИТЕ ПОЖАЛУЙСТА, ОЧЕНЬ СРОЧНО НУЖНО

Приложения:

Ответы

Ответ дал: MrSolution
0

Ответ:

(см. объяснение)

Объяснение:

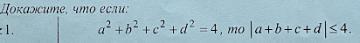
Рассмотрим сначала запись a^2+b^2+c^2+d^2=4.

Поделим обе части равенства на 4 и извлечем из этих обеих частей квадратный корень (каждая часть равенства неотрицательна):

\sqrt{\dfrac{a^2+b^2+c^2+d^2}{4}}=1

Теперь перейдем к оценке:

\dfrac{1}{4}\left|a+b+c+d\right|\le\dfrac{|a|+|b|+|c|+|d|}{4}\le\sqrt{\dfrac{a^2+b^2+c^2+d^2}{4}}=1

При оценке были применены факты того, что модуль суммы не превосходит сумму модулей, неравенство о средних и выше замеченный факт (с равенством корня одному)

То есть было показано, что:

\dfrac{1}{4}|a+b+c+d|\le1

Но тогда |a+b+c+d|\le4.

Доказано!

Вас заинтересует