• Предмет: Алгебра
  • Автор: 13angelina04
  • Вопрос задан 2 года назад

ПОМОГИТЕ ПОЖАЛУЙСТА ​

Приложения:

Ответы

Ответ дал: typou1234
1

Ответ:

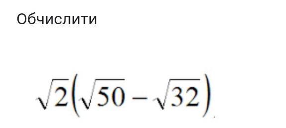
√2(√50-√32)

√100-√64

10-8=2

Вас заинтересует