• Предмет: Математика
  • Автор: zanelbejsenova250
  • Вопрос задан 2 года назад

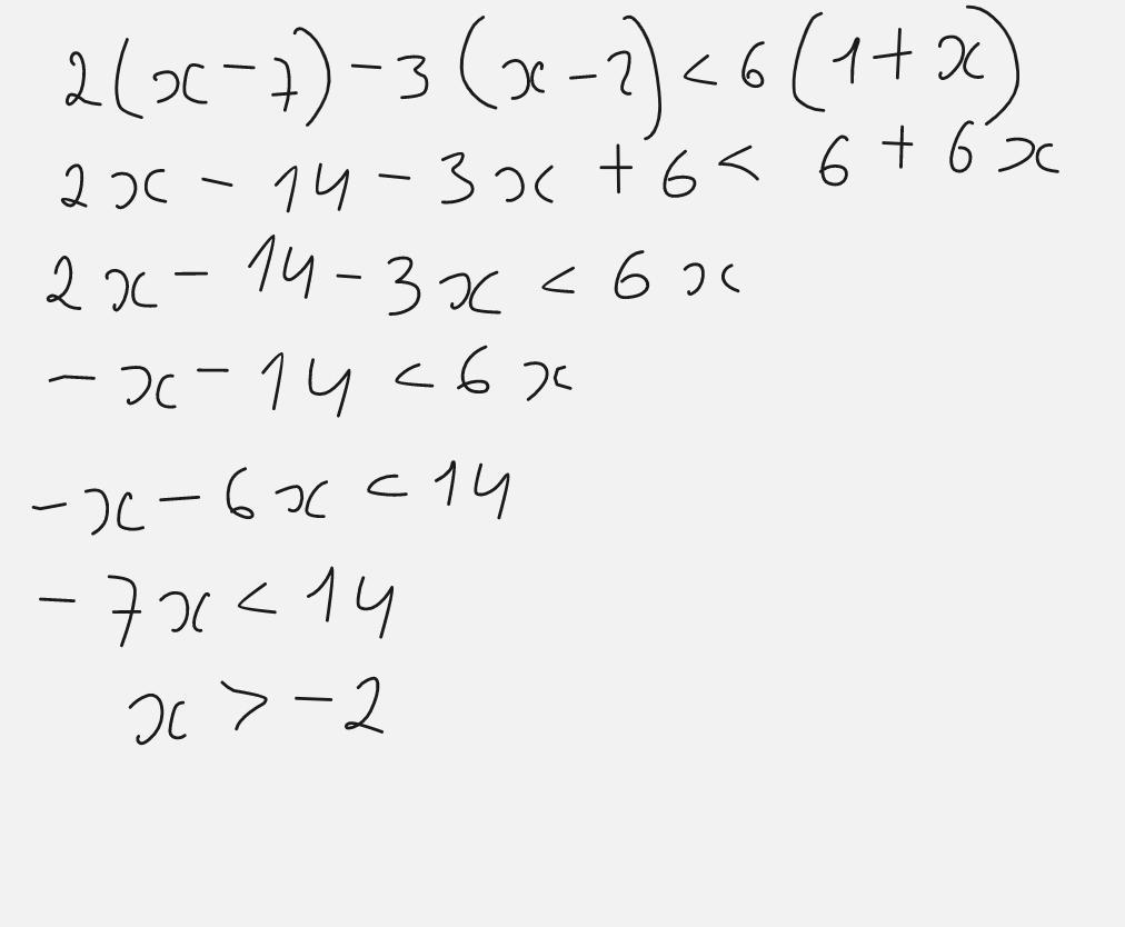
2. 2(x-7)-3(x - 2) < 6(1 + x)​

Ответы

Ответ дал: broomspun1
1

Ответ:

можно лучший ответ пж

Пошаговое объяснение:

Приложения:
Вас заинтересует