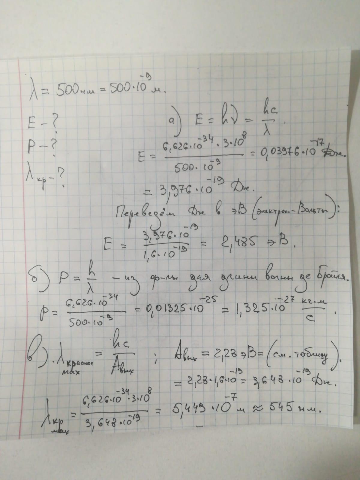
Монохроматический свет длиной волны 500 нм падает на поверхность натрия. Определите: а) энергию Е фотона этого света; б) модуль импульса р фотона падающего света; в) красную границу Унія фотоэффекта для натрия.
Ответы
Ответ дал:
0
Ответ:
Объяснение:
смотреть вложение
Приложения:

Вас заинтересует
1 год назад
1 год назад
1 год назад
1 год назад
3 года назад
3 года назад
8 лет назад