• Предмет: Математика
  • Автор: olgakonov627
  • Вопрос задан 2 года назад


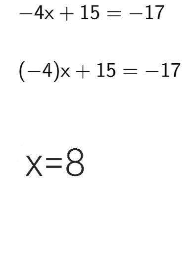
 - 2.8x - 1.2x + 15 =  - 17
пжпжпжжп решите уравнение очень срочно

Ответы

Ответ дал: Katyailyina96
0

Ответ: не благодари елементарна математика

Пошаговое объяснение: его нет)

Приложения:

olgakonov627: мне это надо было вчера и ты просто сразу написала
olgakonov627: ответ
olgakonov627: а так я давно решила
Вас заинтересует