СРОЧНО!!!!!!!!!!!!!!!!!!!!!!
Приложения:

jujikfurry:
непотрібно писати відповідь
Ответы
Ответ дал:
1
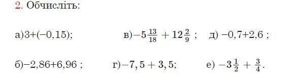
Ответ:
А) 2,85
Б)4,1
В)13/2
Г)-4
Д)1,9
Е)-11/4
Пошаговое объяснение:
Ответ дал:
0
Ответ:
А) 2,85
Б) 4,1
В) 13/2
Г) - 4
Д) 1,9
Е) 11/4
Вас заинтересует
1 год назад
1 год назад
1 год назад
1 год назад
3 года назад
3 года назад
8 лет назад