• Предмет: Алгебра
  • Автор: BRAIN128
  • Вопрос задан 2 года назад

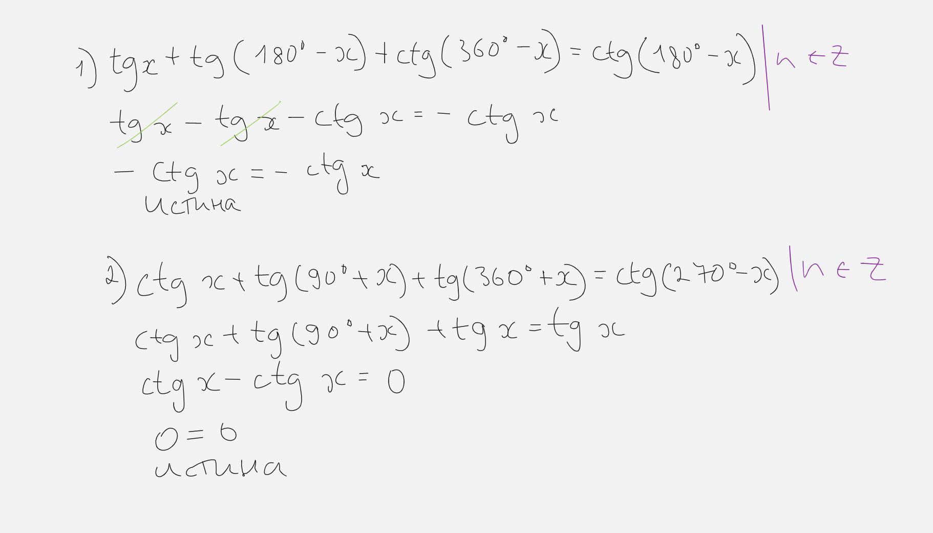
Докажите тождество: 1) tgx + tg(180°- x) + ctg(360°-x) = ctg(180°- x);
2) ctgx + tg(90° + x) + tg(360° + x) = ctg(270°- x);

Ответы

Ответ дал: broomspun1
5

Ответ:

вот ответ и можно лучший ответ пж (коронку)

Объяснение:

Приложения:

BRAIN128: конечно)
BRAIN128: ты так хорошо объясняешь надеюсь именно ты ответишь на мой следующий вопрос когда-то
broomspun1: можешь написать мне в тг anfourier если будут вопросы
Вас заинтересует