• Предмет: Математика
  • Автор: nnnmaryaand26
  • Вопрос задан 2 года назад

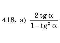
Спростіть
 \frac{2tg \: a}{1 - {tg}^{2}a }

Приложения:

Ответы

Ответ дал: NNNLLL54
2

Ответ:

Это формула тангенса двойного угла   \bf tg2a=\dfrac{2\, tga}{1-tg^2a}   .

Докажем это , применяя формулы синуса и косинуса двойных углов.

\bf \dfrac{2\, tga}{1-tg^2a}=\dfrac{2\cdot \dfrac{sina}{cosa}}{1-\dfrac{sin^2a}{cos^2a}}=\dfrac{2\, sina}{cosa\cdot \dfrac{cos^2a-sin^2a}{cos^2a}}=\dfrac{2\, sina}{\dfrac{cos^2a-sin^2a}{cosa}}=\\\\\\=\dfrac{2\, sina\cdot cosa}{cos^2a-sin^2a}=\dfrac{sin2a}{cos2a}=tg2a

Приложения:

nnnmaryaand26: можешь пожалуйста написать на листочке ,просто очень плохо видно (
NNNLLL54: смотри скрин
nnnmaryaand26: СПАСИБО ОГРОМНОЕ!!!!!
NNNLLL54: Пожалуйста
Вас заинтересует