• Предмет: Математика
  • Автор: polinaalehina437
  • Вопрос задан 2 года назад

3 примера алебра помогите пожалуйста 7 класс СРОЧНО

Приложения:

Ответы

Ответ дал: SklMatt
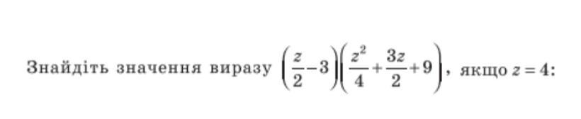
1

Ответ:

Воспользуемся формулой:

 {a}^{3}  -  {b}^{3}  = (a - b)( {a}^{2}  + ab +  {b}^{2} )

1) \\ x^{3}  -  27 = (x - 3)( {x}^{2}  + 3x + 9) \\ 2) \\ ( \frac{z}{2}  - 3)( \frac{ {z}^{2} }{4}  +  \frac{3z}{2}  + 9) = ( \frac{z}{2} )^{3}  -  {3}^{3}  = ( \frac{4}{2} ) ^{3}  -  {3}^{3}  =  {2}^{3}  - 3^{3}  = 8 - 27 =  - 19

Вас заинтересует