• Предмет: Математика
  • Автор: Аноним
  • Вопрос задан 2 года назад

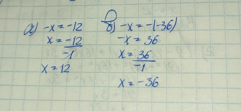
ЗАНЙДЫ ЗНАЧЕННЯ Х,ЯКЩО:
а)-х = -12; б) –х = - (-36)

Ответы

Ответ дал: anuapolina08
1

Відповідь:

Розв'язок до завдання на фото.

Приложения:

anuapolina08: готово
anuapolina08: перезавантажте сторінку
Аноним: Спс!!
Аноним: Что такое z?
anuapolina08: це дорівнює
Аноним: А,прости
Аноним: А точно правильно?
Аноним: а то я переживаю
anuapolina08: так, правильно
anuapolina08: Якщо хочете, то можете підставити корені в рівняння. Вийде правильна рівність( Права частина = Лівій частині)
Вас заинтересует