• Предмет: Алгебра
  • Автор: Kirill050810
  • Вопрос задан 2 года назад

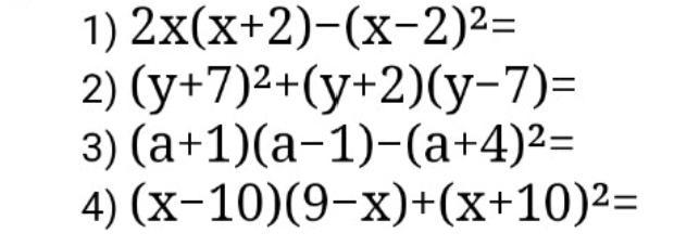
Всё на скрине упростите выражение

Приложения:

Ответы

Ответ дал: Awesome22800
1

Ответ:

1) 2x(x+2)-(x-2)^2 = 2x^2 + 4x - (x^2 - 4x +4) = x^2 + 8x - 4

2) (y+7)^2 + (y+2)(y-7) = y^2 + 14y + 49 + y^2 - 7y + 2y - 14 = 2y^2 + 9y + 35

3) (a+1)(a-1) - (a+4)^2 = a^2 - 1 - (a^2+8a+16) = a^2 - 1 - a^2 - 8а - 16 = -17 - 8а

4) (x-10)(9-x)+(x+10)^2 = 9x - x^2 - 90 + 10x + x^2 + 20x + 100 = 39x + 10

Вас заинтересует