• Предмет: Алгебра
  • Автор: RyanGosling123
  • Вопрос задан 2 года назад

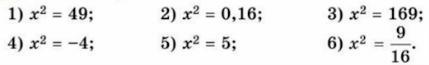
ПОМОГИТЕ СРОЧНО, задание показано на фото, прошу очень нужна помощь, пожалуйста!

Приложения:

Ответы

Ответ дал: Awesome22800
1

Ответ:

1) x1 = 7   x2 = -7

2) x1 = 0,4   x2 = -0,4

3) x1 = 13   x2 = -13

4) нет решения

5) x1 = \sqrt{5}   x2 = -\sqrt{5}

6) x1 = -\frac{3}{4}     x2 = \frac{3}{4}

Вас заинтересует