• Предмет: Математика
  • Автор: nigmatullaevamuhlisa
  • Вопрос задан 2 года назад

Помогите пожалуйста с объяснением

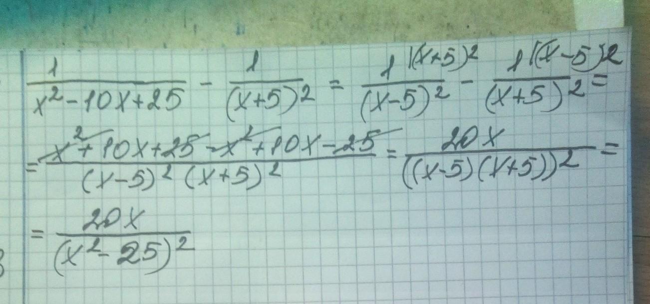
1/х²-10х+25-1/(х+5)²

Ответы

Ответ дал: manyny06
1

Ответ:

решение смотри на фотографии

Приложения:

nigmatullaevamuhlisa: спасибо
nigmatullaevamuhlisa: вы мне очень помогли
Вас заинтересует