• Предмет: Геометрия
  • Автор: max5648
  • Вопрос задан 2 года назад

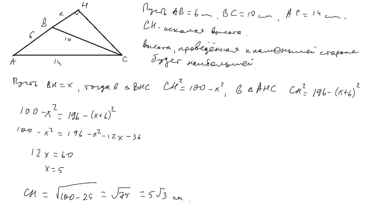
Знайдіть найбільшу висоту трикутника зі сторонами 6 см, 10 см і 14 см.

Ответы

Ответ дал: Warlock1
2

Ответ:

Объяснение:

Задачу можно решить 2мя способами - по формуле Герона или через прямоугольные треугольники. Решим 2м способом, поскольку Герона многие не любят.

Приложения:

ГАЗ52: А почему не написали о тупоугольном треугольнике? Задавателю, наверное будет непонятно.
Warlock1: А, ну да, согласен, сам не сразу понял почему не получается. Надо было написать что квадрат наибольшей стороны больше суммы квадратов двух других, поэтому тупоугольный.
ГАЗ52: ))))
Вас заинтересует